IDO Segev Cup 2023 (International IDO Segev Cup)
Held in Israel from April 26th to April 28th
The competition aims to celebrate Israel's 75th anniversary through a major aviation festival
to celebrate the 75th anniversary of Israel
and the 90th anniversary of the Israel Aviation Club
More than 14,000 spectators were on hand to watch
the largest IMAC Freestyle competition in Israel and the world
and one of the largest air show events in Israel and the world
T-MOTORHOBBY as a sponsor
We are glad to witness this moment together with you



The competition brought together
A total of 25 talented flyers from all over the world and Israel


Among them, Thai flyer Kanpai Larnlua as T-MOTORHOBBY sponsor flyer
Represented T-MOTORHOBBY in the whole competition

At the same time, we also brought many products for you
Look, T-MOTORHOBBY is everywhere on the site





The top six finishers of this competition also received our sponsored
AM600 motor and peripheral products
Let's cheer for them together!






Let's take a look at some of the wonderful photos on site








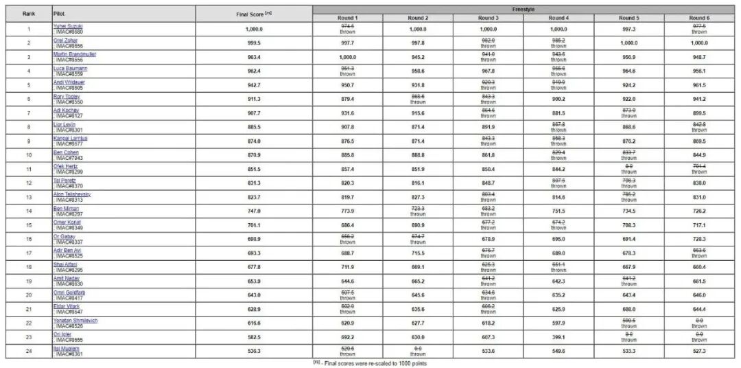
Here is the result list of the competition
T-MOTORHOBBY is dedicated to being the leader in model airplane sports
We have grown along the way and witnessed the development of model aviation together with you.
Thank you very much for your support and recognition
We will continue to work hard and live up to your expectations.